

What is NDA agreement?
A Non-Disclosure Agreement, often called an NDA agreement, is essential for protecting sensitive information in professional settings. Whether you're a business owner, freelancer, or investor, understanding how to use one can prevent leaks and build trust.
Who uses the NDA agreement template?
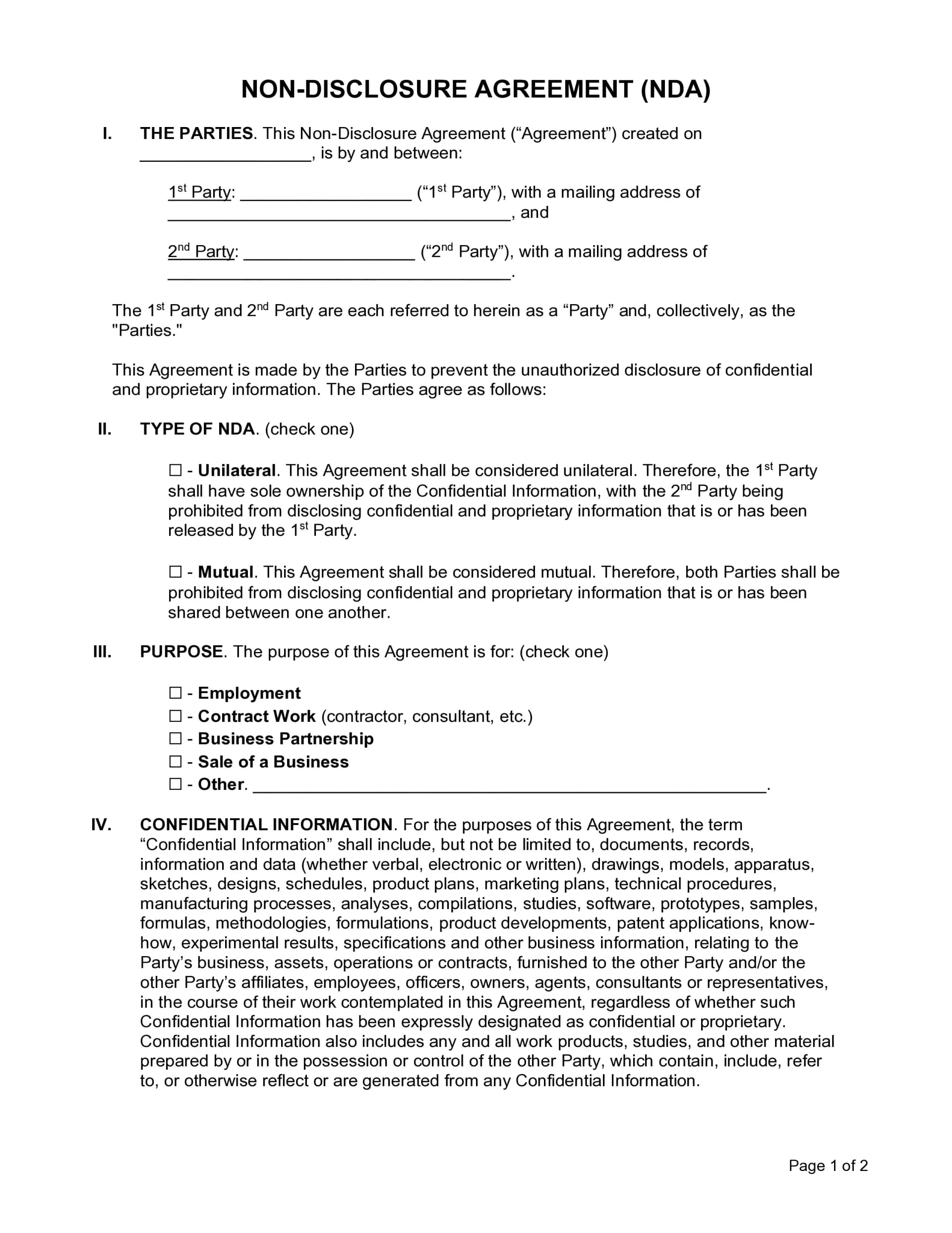
Key details included in an NDA:
Why is the NDA agreement important?
Deadlines and requirements
Unlike tax or government forms, NDAs have no official filing deadline. They are signed whenever two parties agree to exchange confidential information, and the terms remain in effect for the duration specified in the contract.
What if the NDA is breached?
The disclosing party may pursue legal remedies, including damages or injunctions, depending on the severity of the breach and the terms outlined in the agreement.
1. Fyll i formuläret
Fyll i dina uppgifter och information, lägg till datum och anpassa efter behov
2. Lägg till din signatur
Lägg till juridiskt bindande signatur genom att rita, ladda upp eller skriva
3. Ladda ner eller dela
Ditt formulär är klart, ladda ner, dela länk eller skicka via e-post omedelbart